Plynové vzpěry se používají jako pomocný prvek pro zvedání těžkých krytů. Pomáhají, aby otevírání krytu nebylo příliš namáhavé a kryt po otevření zůstal v horní poloze. Plynové vzpěry tedy usnadňují (odlehčují) otvírání a zároveň utlumují zavírání krytu, kdy působí jako protiváha, aby kryt neřízeně nepadal dolů.
Tyto stránky jste navštívili patrně z jednoho ze dvou důvodů:
a) hledáte náhradu Vaší starší plynové vzpěry
Jak postupovat? Pro nalezení vhodné náhrady se budeme řídit podle Vaší plynové vzpěry. Sdělte nám o ní informace dle následujícího návodu a obratem Vám nabídneme adekvátní náhradu: viz odkaz: Poptávka
b) hledáte plynovou vzpěru pro Váš nově konstruovaný kryt
Ať už jde o vstup do sklepa, na půdu nebo kryt nějakého zařízení, budeme se v tomto případě řídit podle podle parametrů krytu. K tomu potřebujeme informace o jeho rozměrech, umístění a váze. Jak postupovat se dovíte kliknutím na odkaz: Návrhy

Plynové vzpěry
najdeme nejčastěji na pátých dveřích automobilů, krytech strojů, víkách skříní, oknech traktorů a stavebních strojů, výklopných částí vybavení přívěsů, kajut lodí, letadel, vstupech na půdu, do sklepa atd. Bez nich by nebyla myslitelná mnohá zařízení usnadňující život osobám s postižením – výklopná sedadla automobilů, domácí schodišťové plošiny, polohovací lůžka atd.
Jako všechny moderní výrobky se i plynové vzpěry dále vyvíjejí. Jejich základní funkce je sice již definována, ale stále dochází k různým dílčím vylepšením a zejména snaze zvýšit jejich životnost a odolnost proti poškození použitím nových materiálů a technologií. Tohoto procesu si lze všimnout i na vzhledu vzpěr – ještě před cca 15 lety byly vzpěry lesklé, protože měly chromovaný povrch, ale dnes je již drtivá většina plynových vzpěr černých (díky povrchové nitridaci, která má vyšší odolnost proti korozi).
V naší Galerii se můžete podívat na fotografie vzpěr našich zákazníků - jsou zde vidět jak původní plynové vzpěry, které jsme nahrazovali novými, tak některé realizace nových zařízení.
Funkce plynových vzpěr

Plynové vzpěry se skládají z válce a pístnice, jejíž výsuvnou délku označujeme jako zdvih. Válec je naplněn tlakovým dusíkem a určitým množstvím oleje, který zajišťuje mazání pístnice. Pro správnou funkci je nutné umístit vzpěru vždy válcem nahoru - viz obrázek vlevo, protože jedině tak se pístnice při pohybu brodí v oleji a je mazána. (Určitým chytákem může být jak umístit vzpěry na pátých dveřích automobilů v případě, kdy je vzpěra od výrobce umístěna pístnicí nahoru, viz obrázek vpravo. V tomto případě je to ale výjimečně v pořádku, protože vzpěra se při zavření dveří dostává do správné polohy. Olej steče na těsnění a při otevření je tak pístnice promazávána. Pokud ale k překlápění válce vzpěry při otevírání krytu nedochází, je správná poloha vždy válcem nahoru).

Na co je třeba dávat pozor
Při nahrazování starších vzpěr je v první řadě nutné vědět, zda se skutečně jedná o vzpěru a ne o hydraulický tlumič. Základní pravidlo zní: vzpěra zvedá, tlumič tlumí. To zní poněkud banálně, ale k rozeznání pomůže i pohled na délku zdvihu: vzpěra otevírá nějaký kryt (většinou otočný na pantu), využívá svůj zdvih po dlouhé dráze, ale předpokládá se u ní relativně malý počet zdvihů (pracuje ojediněle). Na druhé straně pístnice hydraulického tlumiče "kmitá" na kratší dráze, ale počet cyklů bývá vysoký (tlumí vibrace).
Při hledání vhodné náhrady starší vzpěry je rovněž třeba ověřit, zda při zavření vzpěry nedojde k naražení koncovek na válec. Pokud Vám náhradu navrhneme my, toto samozřejmě ověřujeme, někdy Vás ale z tohoto důvodu můžeme požádat o zjištění dodatečných informací (rezervy pístnice apod.)
Pro správné použití vzpěr platí, že je nutno vyvarovat se poškození povrchu pístnice poškrábáním, potřísněním vodou, chemikálií nebo barvou. Za normálních okolností Vám budou plynové vzpěry sloužit několik let - samozřejmě pokud se nejedná o levné vzpěry asijské provenience. Okopírovat jakýkoli výrobek lze snadno, ale není tak snadné dosáhnout vysoké kvality povrchu a těsnění, což má spolu zásadní vliv na životnost. Koneckonců, každý má asi vlastní zkušenost z osobního auta, kde kvalitní vzpěry vydržely i 15 let.
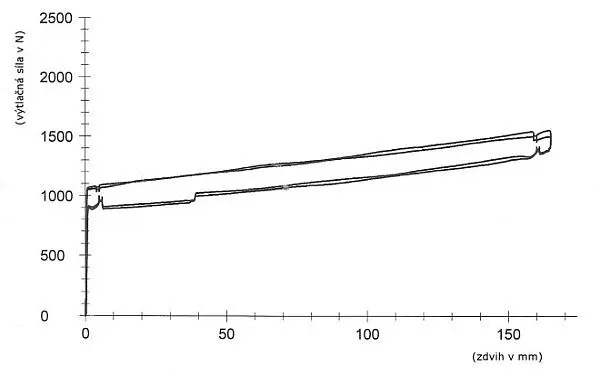
Pokud Vás zajímá fukce vzpěr do větší hloubky či jednoduše patříte k technicky zvídavým jedincům, pak níže přikládáme i graf závislosti průběhu síly vzpěry na zdvihu - na něm je vidět, že síla vzpěry není konstantní, nýbrž se po délce zdvihu mění. (S tím je třeba počítat i při návrhu nových vzpěr, což v našich návrzích vždy děláme).

Plynové vzpěry - vznik a vývoj
Vznik plynových vzpěr
Plynové vzpěry definoval a patentoval francouzský inženýr Paul Giffard (1837-97), viz odkaz na Wikipedii. Princip plynové vzpěry vychází z plundžru, což je jednoduše pístnice, která se zasouvá do uzavřeného válce. Tím se uvnitř zmenšuje objem a roste tlak. V důsledku tak vzniká síla, která pístnici plynové vzpěry vytlačuje ven. Vynálezce Paul Giffard se později věnoval především konstrukcím vzduchových zbraní (některé jeho myšlenky jsou v jejich konstrukci používány dodnes), kde vlastní několika patentů. Vývoj plynových vzpěr nakonec dovršil tím, že opatřil jejich písty přepouštěcími kanálky a toto řešení úspěšně patentoval v USA v roce 1875.
Jejich další vývoj
Z hlediska fukce byly tedy plynové vzpěry vyvinuty už na konci 19. století, ale tehdejší technologie a těsnicí materiály nedovolovaly ještě jejich sériovou výrobu. Ta mohla ve velkém začít teprve v 60. letech 20. století, kdy v Evropě a USA vznikly první firmy, které je vyráběly nejprve pro automobilový průmysl a později i do jiných odvětví.